Seneste opdatering :
18/03/2026
Antisvampe   Amphotericin B   
Oral opløsning
Aerosol Injektion Mundskyllevæske Øjendråber
Stabilitet af farmaceutiske tilberedninger Stabilitet i blandinger Faktorer der påvirker stabiliteten Kompatibilitet Bibliografi pdf
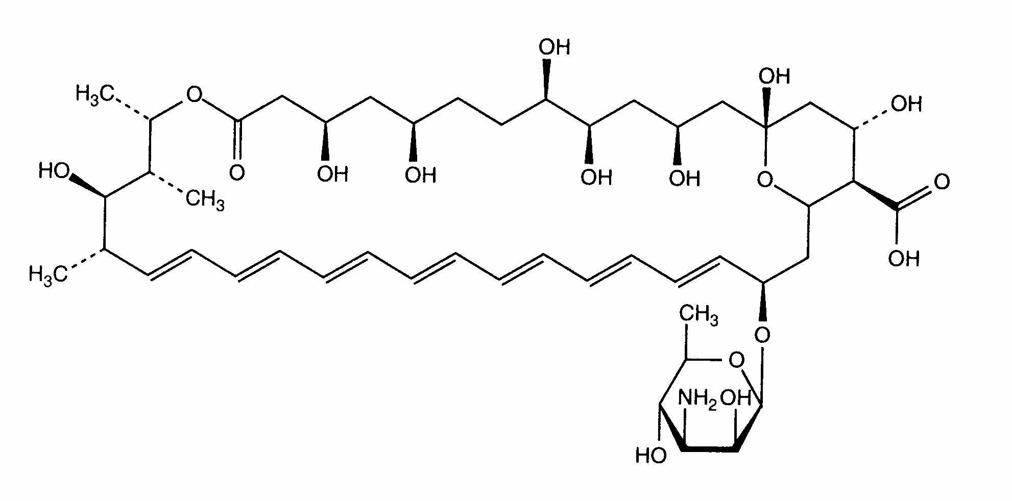
   Kemisk struktur  

Oral opløsning
Kompatibilitet   Oral opløsning   Kompatibilitet : Amphotericin B               
Ingen data

  Mentions Légales