Τελευταία ενημέρωση :
18/03/2026
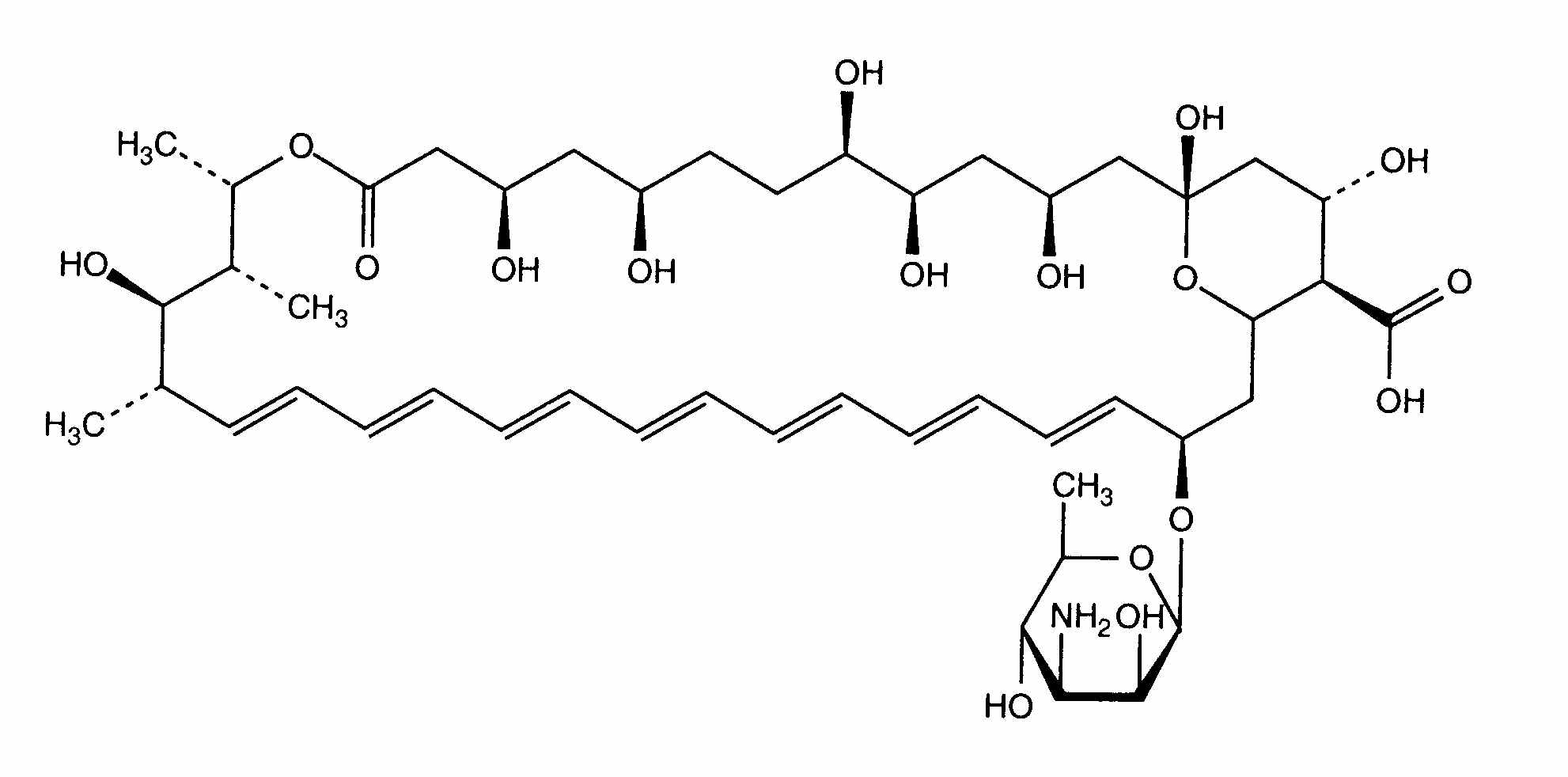
Αντιμυκητικό   Amphotericin B   
Πόσιμο διάλυμα
Αεροζόλ Ενέσιμο Οφθαλμικές σταγόνες Στοματικό διάλυμα
Σταθερότητα και συμβατότητα των φαρμάκων Σταθερότητα σε μίγματα Παράγοντας που επηρεάζει τη σταθερότητα Συμβατότητες Βιβλιογραφία pdf
   χημική δομή  

Πόσιμο διάλυμα
Συμβατότητες    Πόσιμο διάλυμα   Συμβατότητες : Amphotericin B               
Δεν υπάρχουν πληροφορίες

  Mentions Légales