آخر تحديث :
18/03/2026
مضاد للفطريات   Amphotericin B   
عن طريق الفم
الأيروصولات حقن غسول الفم قطرات العين
استقرار المستحضرات الصيدلانية استقرار مخاليط العوامل التي تؤثر على الاستقرار التوافق مراجع pdf
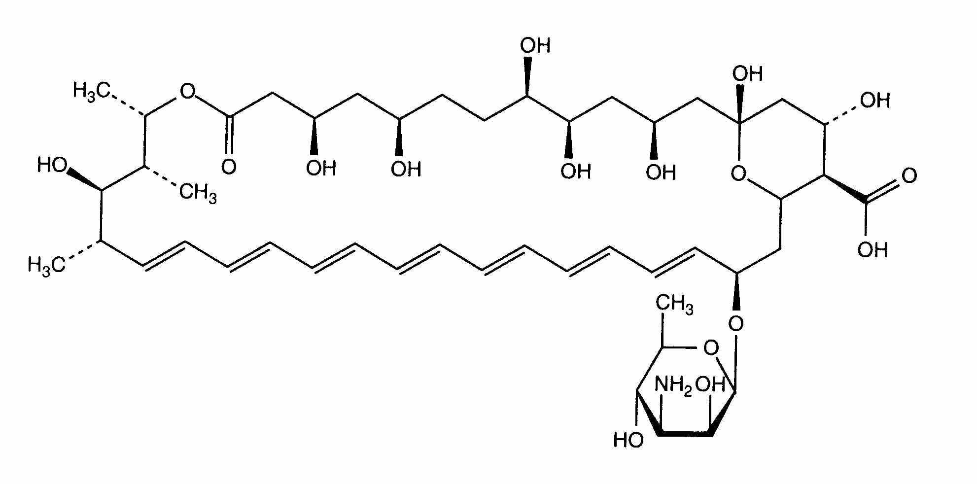
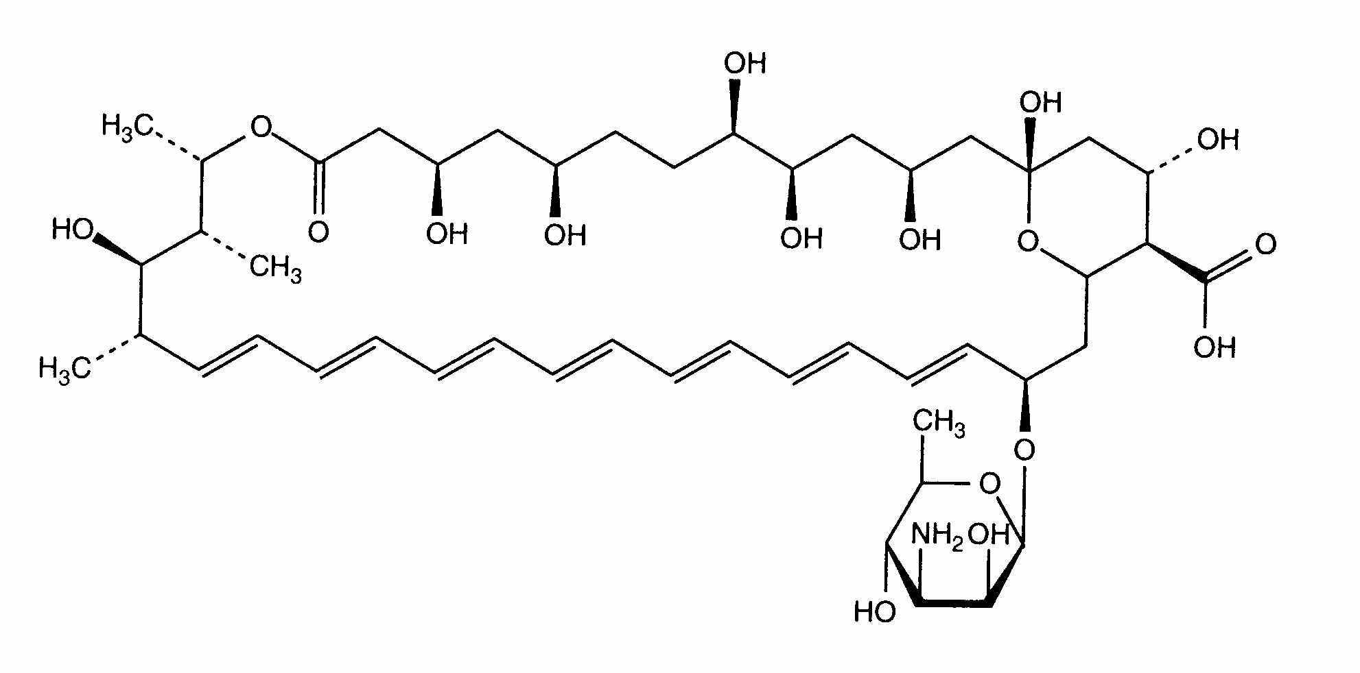
   التركيب الكيميائي  

عن طريق الفم
التوافق   عن طريق الفم     التوافق : Amphotericin B               
لا توجد بيانات

  Mentions Légales