Letztes “update” :
18/03/2026
Antifungoid   Amphotericin B   
Lösung zum Einnehmen
Aerosol Augentropfen Injektion Mundspüllösung
Stabilität von pharmazeutischen Präparaten Gemengestabilität Stabilitätbeeinflussende Faktoren Kompatibilitäten Literaturverzeichnis pdf
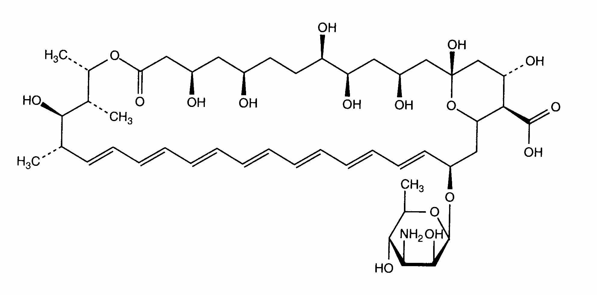
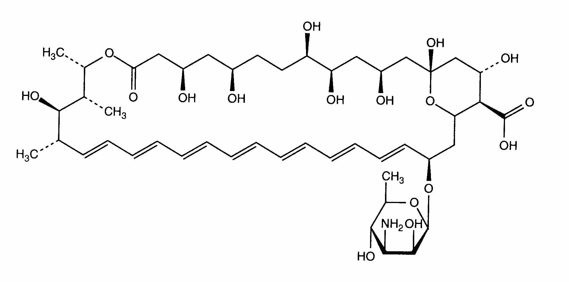
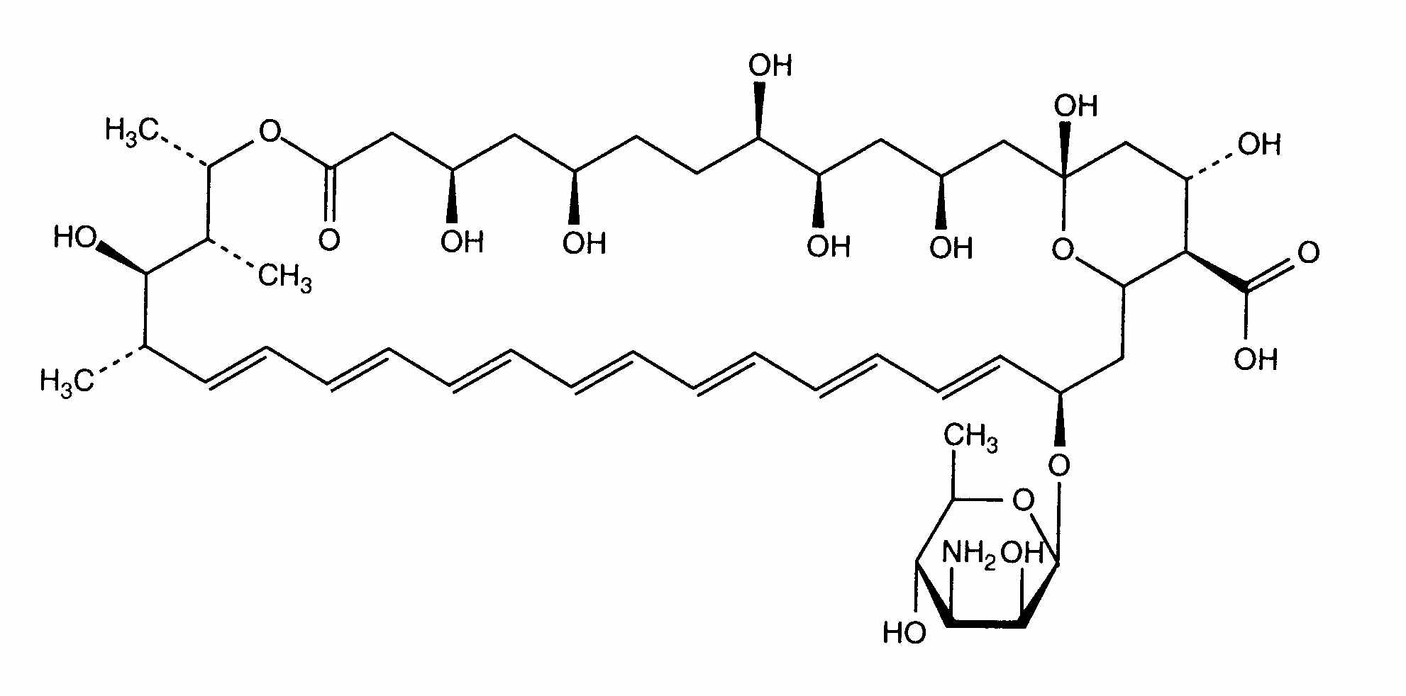
   Chemische Struktur  

Lösung zum Einnehmen
Kompatibilitäten   Lösung zum Einnehmen   Kompatibilitäten : Amphotericin B               
Keine Daten

  Mentions Légales