Ultimele actualizari :
18/03/2026
Antifungic   Amphotericin B   
Soluţie orală
Aerosol colir Gargara Injectabil
Stabilitatea preparatelor farmaceutice Stabilitatea in amestec Factorii care influenteaza stabilitatea Compatibilitate Bibliografie pdf
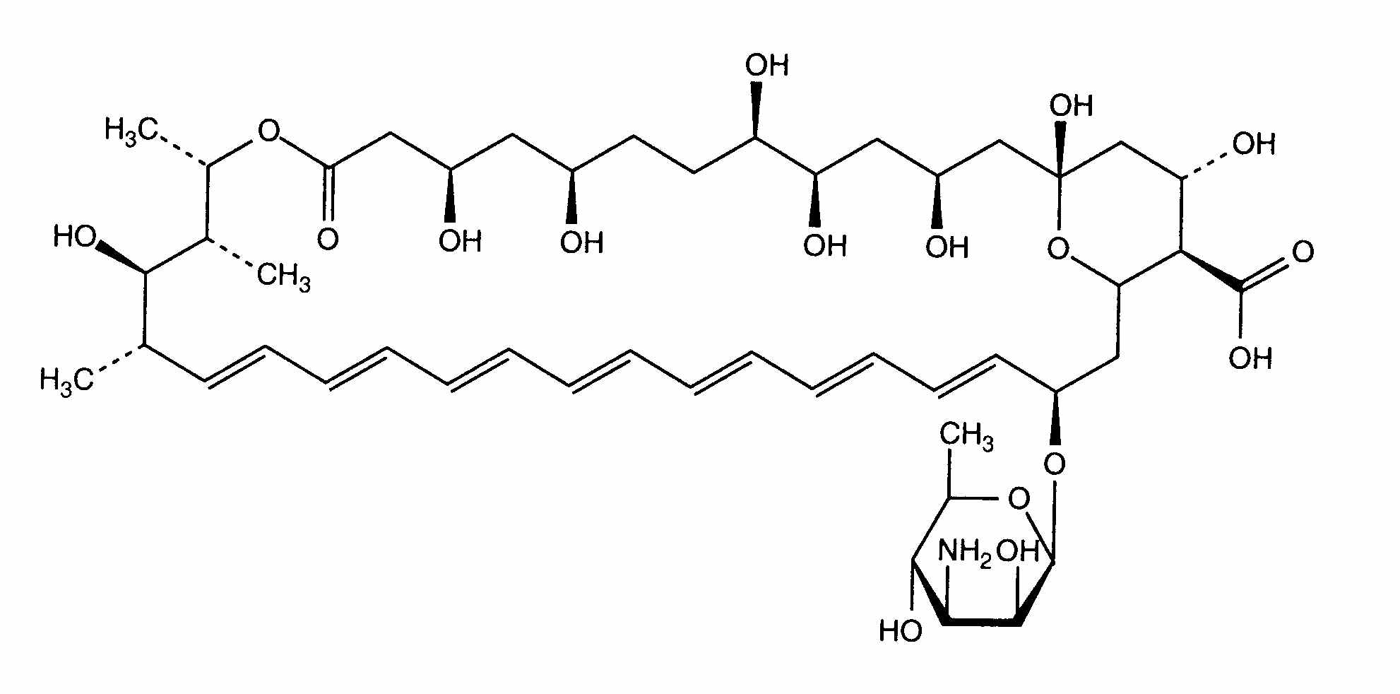
   Formula chimica  

Soluţie orală
Compatibilitate   Soluţie orală   Compatibilitate : Amphotericin B               
Absenta de date

  Mentions Légales