Последно актуализиране :
18/03/2026
Противогъбично средство   Amphotericin B   
Орален разтвор
Аерозол Инжекция/Инжекционен Капки за очи Разтвор за уста
Стабилност на лекарствени препарати Стабилност на смеси Фактори, повлияващи стабилността Съвместимост Библиография Pdf
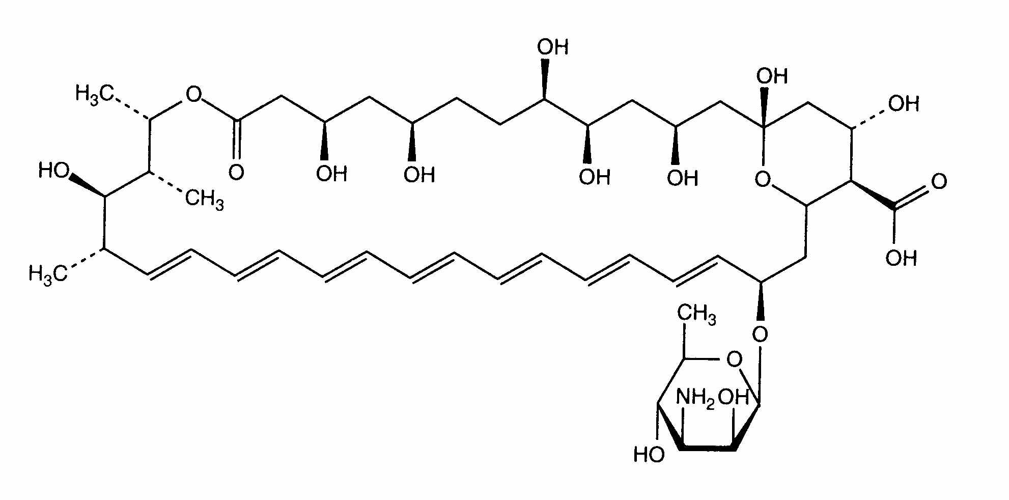
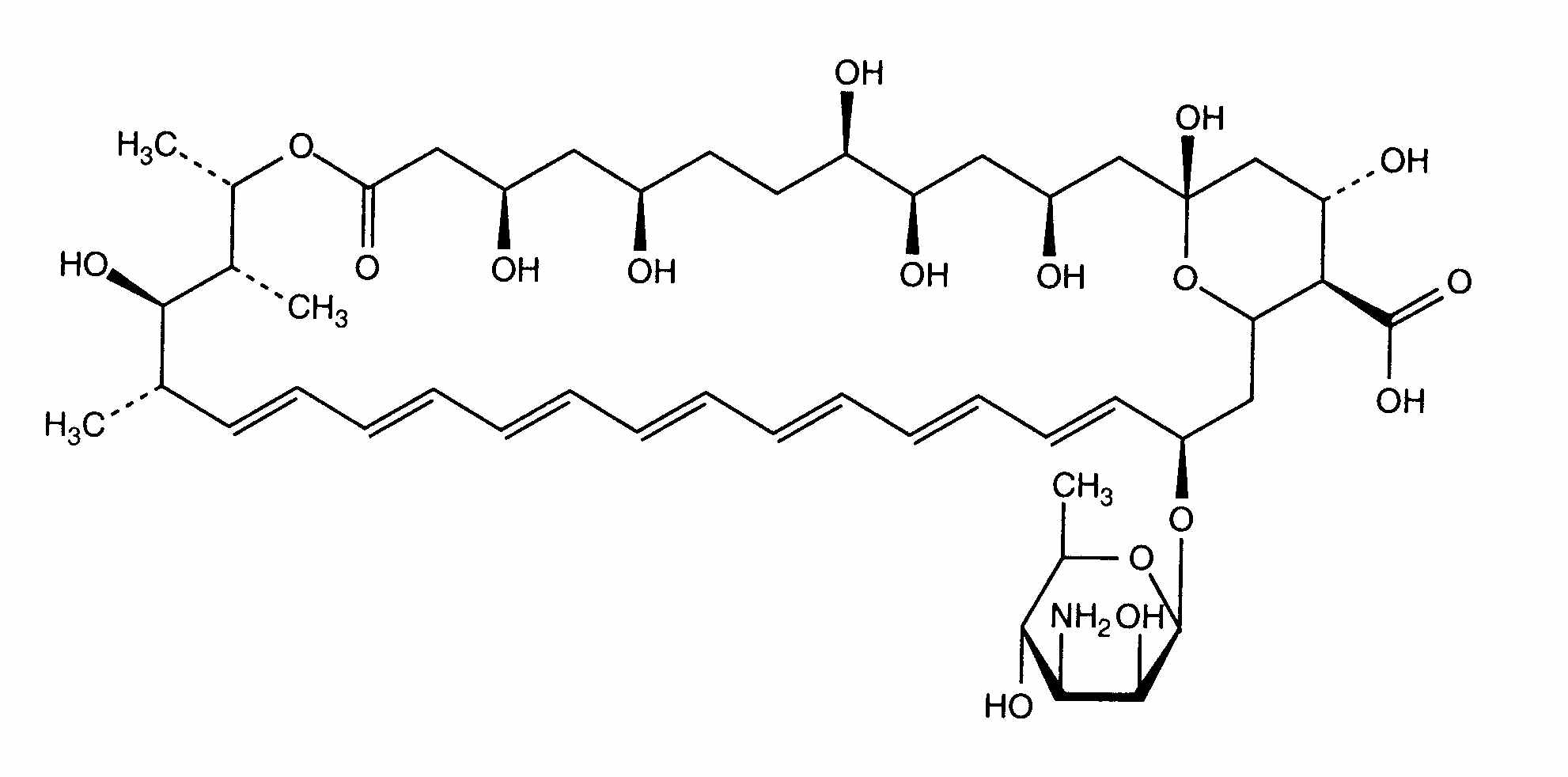
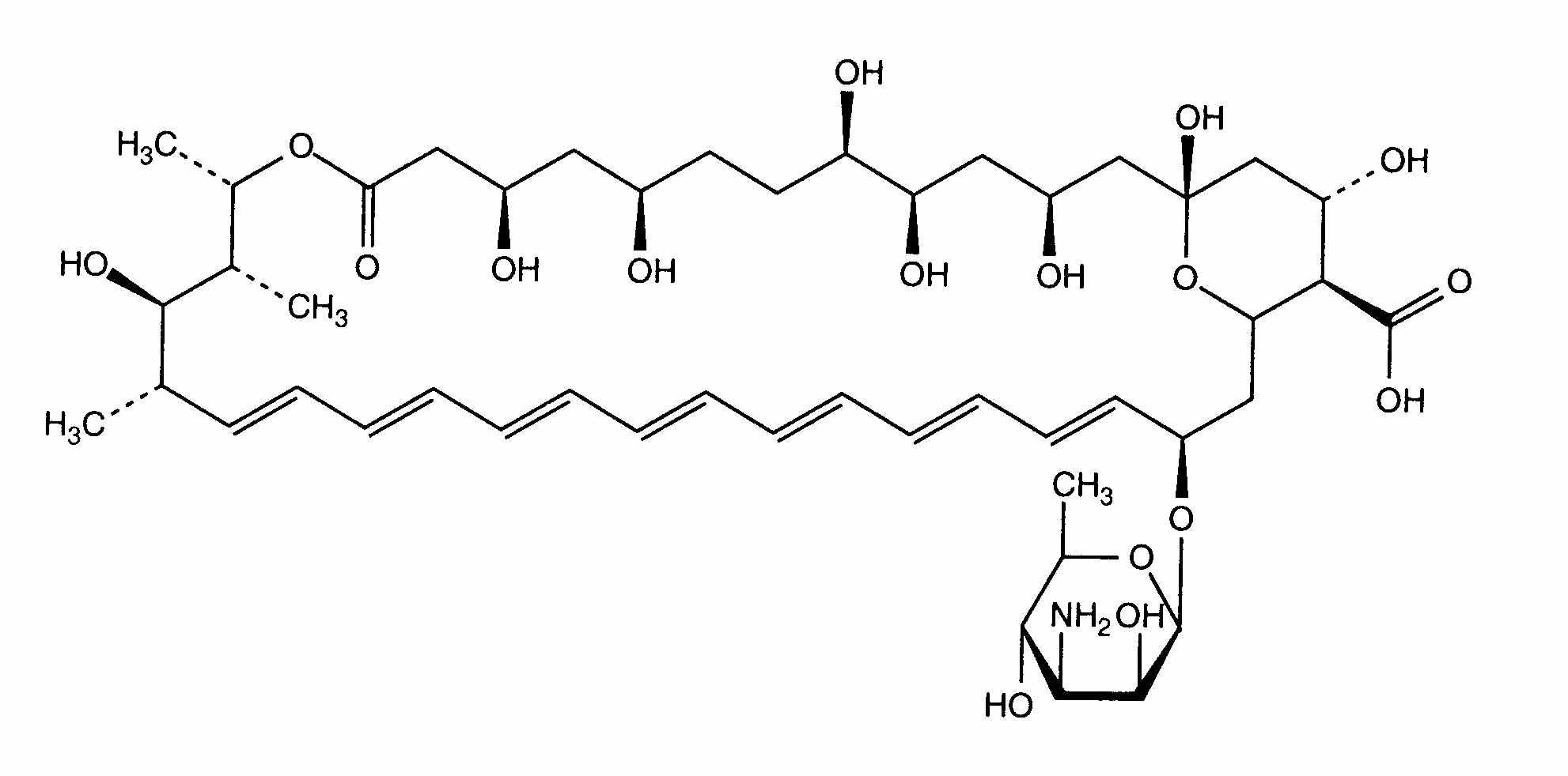
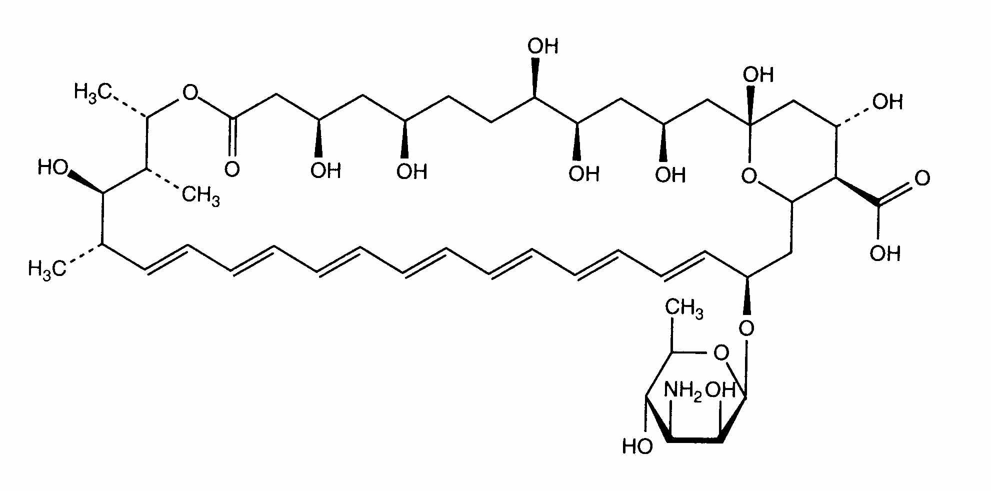
   Химична структура  

Орален разтвор
Съвместимост   Орален разтвор   Съвместимост : Amphotericin B               
Няма данни

  Mentions Légales