zadnja posodobitev :
18/03/2026
Zaviralec adrenergičnih receptorjev beta   Carvedilol  
Peroralna raztopina
Stabilnost farmacevtskih preparatov Stabilnost mešanice Faktorji, ki vplivajo na stabilnost Kompatibilnost Viri pdf
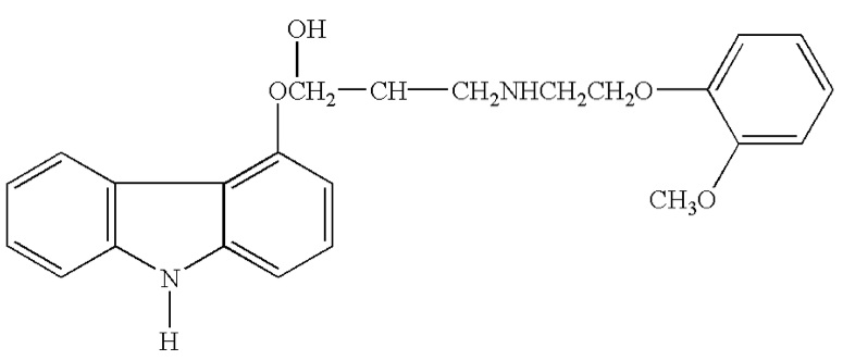
   Kemična formula  

Peroralna raztopina
Kompatibilnost   Peroralna raztopina   Kompatibilnost : Carvedilol              
ni podatka

  Mentions Légales