Posledná aktualizácia :
18/03/2026
beta-blokátor   Carvedilol  
Perorálny roztok
Stabilita farmaceutických prípravkov Stabilita v zmesiach Faktory ovplyvňujúce stabilitu Kompatibility Odkazy na literatúru PDF
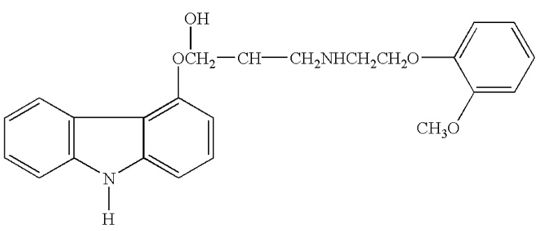
   Chemický vzorec  

Perorálny roztok
Kompatibility   Perorálny roztok   Kompatibility : Carvedilol              
žiadne údaje

  Mentions Légales