Ostatnia aktualizacja :
18/03/2026
Lek beta-adrenolityczny   Carvedilol  
Roztwór doustny
Stabilność preparatów farmaceutycznych Trwałość w mieszaninie Czynnik wpływający na trwałość Zgodność Bibliografia pdf
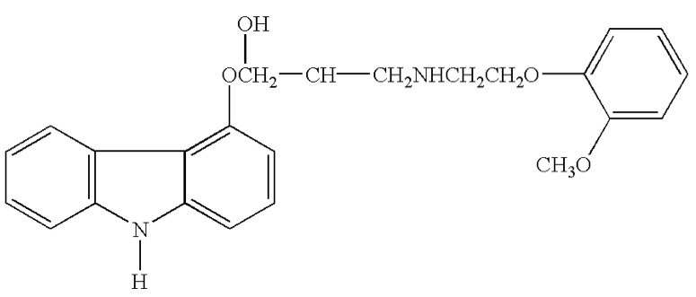
   Struktura chemiczna  

Roztwór doustny
Zgodność   Roztwór doustny   Zgodność : Carvedilol              
Brak danych

  Mentions Légales