Utolsó frissítés :
05/12/2025
Béta-blokkoló   Carvedilol  
belsőleges oldat
Stabilitása gyógyszerészeti készítmények A keverékek stabilitása Stabilitást befolyásoló tényezők Kompatibilitás Irodalom pdf
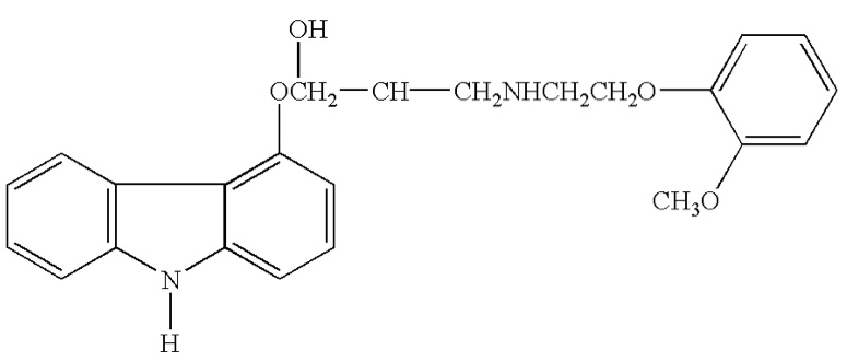
   Kémiai szerkezet   

belsőleges oldat
Kompatibilitás   belsőleges oldat   Kompatibilitás : Carvedilol              
Hiányzó adat

  Mentions Légales