Ultimo aggiornamento :
05/12/2025
Beta-bloccante   Carvedilol  
Soluzione orale
Stabilità dei preparati farmaceutici Stabilità in miscela Fattori che influenzano la stabilità Compatibilità Bibliografia pdf
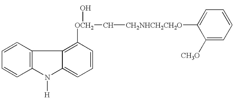
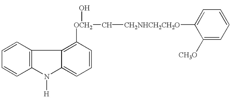
   Struttura chimica  

Soluzione orale
Compatibilità   Soluzione orale   Compatibilità : Carvedilol              
Assenza di dati

  Mentions Légales