Последно актуализиране :
18/03/2026
Бета-блокер   Carvedilol  
Орален разтвор
Стабилност на лекарствени препарати Стабилност на смеси Фактори, повлияващи стабилността Съвместимост Библиография Pdf
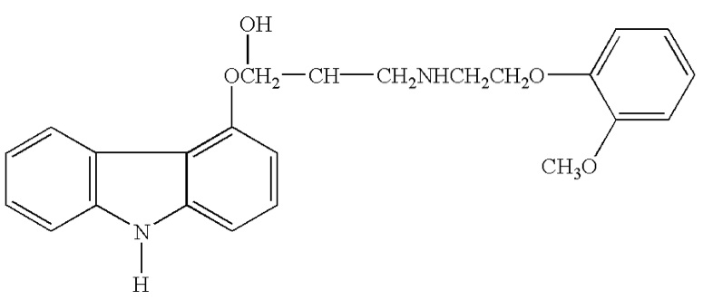
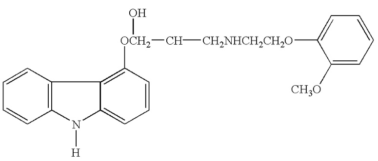
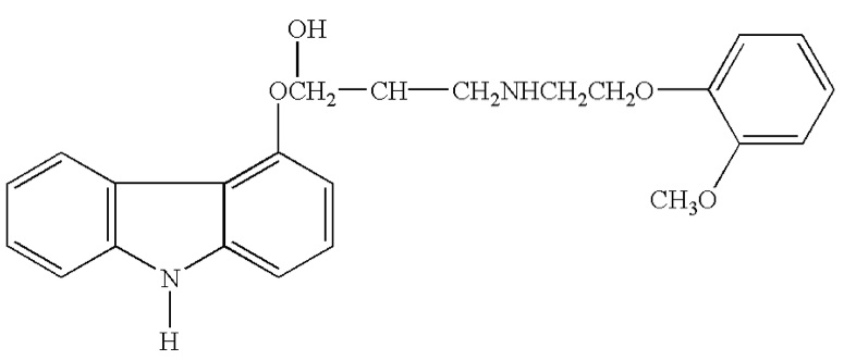
   Химична структура  

Орален разтвор
Съвместимост   Орален разтвор   Съвместимост : Carvedilol              
Няма данни

  Mentions Légales