Zadnji put ažurirano :
18/03/2026
betablokatori   Carvedilol  
oralna otopina
Stabilnost farmaceutskih pripravaka Stabilnost mješavine Stabilizacijski faktor Kompatibilnosti Bibliografija pdf
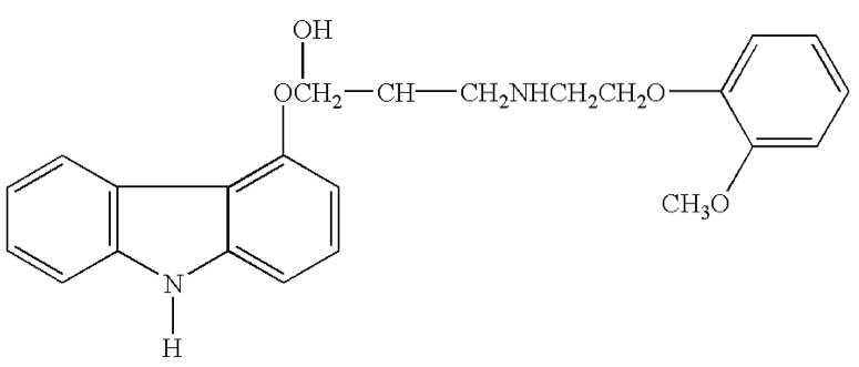
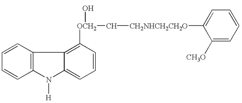
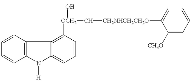
   Kemijska struktura  

oralna otopina
Kompatibilnosti   oralna otopina     Kompatibilnosti : Carvedilol              
bez podataka

  Mentions Légales