最新更新 :
05/12/2025
β遮断薬   Carvedilol  
経口液
調剤時の安定性 混合時の安定性 安定性に影響する因子 互換性 引用文献 PDF
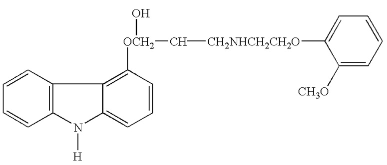
   化学構造  

経口液
互換性   経口液   互換性 : Carvedilol              
データなし

  Mentions Légales