Poslední aktualizace :
18/03/2026
beta-blokátor   Carvedilol  
Perorální roztok
Stabilita farmaceutických přípravků Stabilita směsí Faktory ovlivňující stabilitu Kompatibilita Odkazy pdf
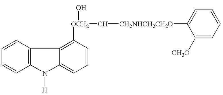
   Chemický vzorec  

Perorální roztok
Kompatibilita   Perorální roztok   Kompatibilita : Carvedilol              
žádná data

  Mentions Légales