Son güncelleme :
18/03/2026
kanser ilaç   Cabazitaxel  
Enjeksiyon
Çözeltilerin stabilitesi Karışımlardaki stabilitesi Stabiliteyi etkileyen faktörler Uyumluluk Uygulama yöntemi Kaynaklar pdf
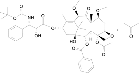
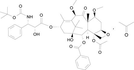
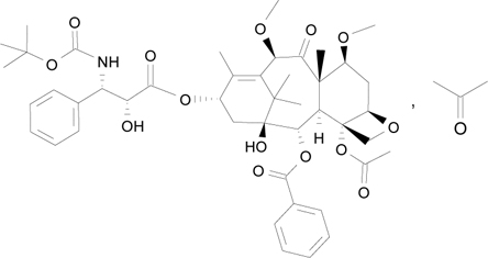
   Kimyasal yapı   

Ticari isim   Ticari isim     

Trade names are indicative and excipients composition can be different depending on the country and manufacturers

Cabazil Arjantin
Cabazitaxel Almanya, Danimarka, Finlandiya, İspanya
Cecalter Arjantin
Jevtana Almanya, Amerika Birleşik Devletleri, Arjantin, Avustralya, Belçika, Brezilya, Büyük Britanya, Danimarka, Ekvador, Finlandiya, Fransa, İspanya, İsviçre, İtalya, İzlanda, Kanada, Kolombiya, Malezya, Meksika, Norveç, Peru, Romanya, Şili, Slovenya, Türkiye
Proazitax Brezilya
Xatiza Şili
Zitat Arjantin
Uyumluluk   Enjeksiyon    Uyumluluk : Cabazitaxel              
Bu ekran, bu durumda uyumsuzluk tipiyle (çökelme, renk değişimi, bir emülsiyonun modifikasyonu, vb.) Uyumlulukları veya uyumsuzlukları gösterir. Burada gösterilen uyumluluklar çoğunlukla yalnızca fizikseldir ve her molekülün kimyasal stabilitesi nadiren değerlendirilir. Bu karışımların değerlendirilmesi, hastaya Y bölgesi uygulama olasılığını göz önünde bulundurmak için çalışıldı. Bu veriler önceden torba veya şırıngalarda karışım yapmak için kullanılamaz. Bu tür bilgiler "Karışımda stabilite" ekranında mevcuttur.
Bileşik Çözücü Kaynaklar

  Mentions Légales