最新更新 :
18/03/2026
Infostab
薬剤一覧
まとめ一覧
互換性の検索
Yサイト対応表
引用文献
研究チーム
valistab
ポスター
接続
スポンサー
作成者
ユーザーガイド
ニュースレター
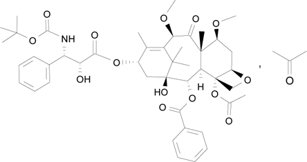
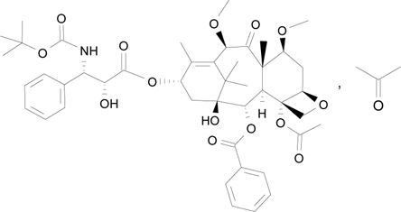
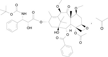
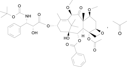
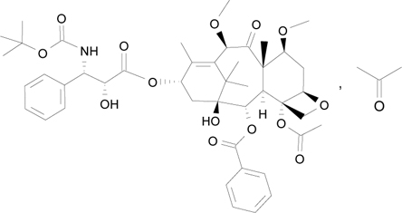
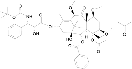
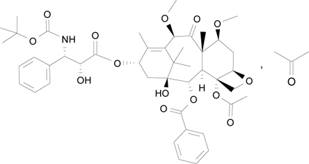
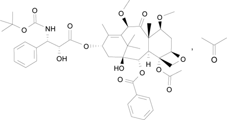
Cabazitaxel
化学構造
商品名
商品名、賦形剤は国、製薬会社ごとに異なることがあります
Cabazil
アルゼンチン
Cabazitaxel
スペイン, デンマーク, ドイツ, フィンランド
Cecalter
アルゼンチン
Jevtana
アイスランド, アメリカ, アルゼンチン, アーストラリア, イギリス, イタリア, エクアドル, カナダ, コロンビア, スイス, スペイン, スロベニア, チリ, デンマーク, トルコ, ドイツ, ノルウェー, フィンランド, フランス, ブラジル, ベルギー, ペルー, マレーシア, メキシコ, ルーマニア
Proazitax
ブラジル
Xatiza
チリ
Zitat
アルゼンチン
互換性 : Cabazitaxel
This screen indicates the compatibilities or incompatibilities with, in this case, the type of incompatibility (precipitation, color change, modification of an emulsion, etc.). The compatibilities shown here are mostly physical only, with the chemical stability of each molecule rarely being assessed. The evaluation of these mixtures was studied to consider the possibility of Y-site administration to the patient. These data cannot be used for making mixtures in advance in bags or syringes. This type of information is available in the screen "Stability in mixture ».
Cabazitaxel
3237
Cabazitaxel
3237
Mentions Légales