Última actualización :
18/03/2026
fármacos contra el cáncer   Cabazitaxel  
Inyectables
Estabilidad en solucion Estabilidad en mezcla Factores que influyen sobre la estabilidad Compatibilidades método de inyección Bibliografía pdf
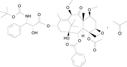
   Estructura química  

Nombre comercial   Nombre comercial     

Los nombres comerciales son orientativos y los excipientes de la formulación pueden ser distintos dependiendo del país y del laboratorio fabricante.

Cabazil Argentina
Cabazitaxel Alemania, Dinamarca, España, Finlandia
Cecalter Argentina
Jevtana Alemania, Argentina, Australia, Bélgica, Brasil, Canadá, Chile, Colombia, Dinamarca, Ecuador, Eslovenia, España, Estados Unidos de América, Finlandia, Francia, Gran Bretaña, Islandia, Italia, Malasia, Marruecos, México, Noruega, Rumania, Suiza, Turquía
Proazitax Brasil
Xatiza Chile
Zitat Argentina
Compatibilidades   Inyectables   Compatibilidades : Cabazitaxel              
Esta pantalla muestra las compatibilidades o incompatibilidades, así como el tipo de incompatibilidad (precipitación, cambio de color, modificación de una emulsión, etc). Las compatibilidades que se recogen aquí son fundamentalmente físicas, mostrando raramente la estabilidad química de la molécula. La evaluación de estas mezclas se estudió con el fin de de comprobar la posibilidad de administración en Y al paciente. Estos datos no pueden utilizarse en el caso de la preparación de mezclas dentro de bolsas o jeringas. Este tipo de información está disponible en la pantalla “Estabilidad en mezcla”.
Molécula Solvente Bibliografía

  Mentions Légales