Posledná aktualizácia :
18/03/2026
Protinádorová liečba   Cabazitaxel  
Injekcia
Stabilita roztokov Stabilita v zmesiach Faktory ovplyvňujúce stabilitu Kompatibility spôsob podania Odkazy na literatúru PDF
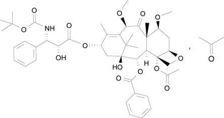
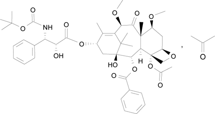
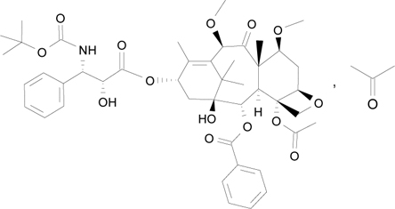
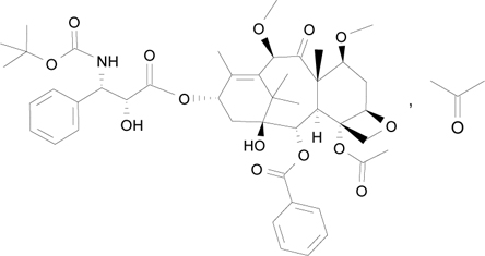
   Chemický vzorec  

Obchodný názov   Obchodný názov     

Obchodné názvy sú orientačné, a zloženie pomocných látok sa môže líšiť v závislosti od krajiny a výrobcu.

Cabazil Argentína
Cabazitaxel Dánsko, Fínsko, Nemecko, Španielsko
Cecalter Argentína
Jevtana Argentína, Austrália, Belgicko, Brazília, Čile, Dánsko, Ekvádor, Fínsko, Francúzsko, Island, Kanada, Kolumbia, Malajzia, Mexiko, Nemecko, Nórsko, peru, Rumunsko, Slovinsko, Španielsko, Spojené štáty Americké, Švajčiarsko, Taliansko, Turecko, Veľká Británia
Proazitax Brazília
Xatiza Čile
Zitat Argentína
Kompatibility   Injekcia   Kompatibility : Cabazitaxel              
Toto okno zobrazuje kompatibility alebo inkombatibility, v prípade inkompatibility aj jej typ (vyzrážanie, zmena farby, zmena emulzie atď.). Tu vymenované kompatibility sú väčšinou len fyzikálne, chemická stabilita každej zo zlúčenín sa hodnotila len zriedkavo. Tieto zmesi sa skúmali za účelom možnosti súbežného podávania pacientovi cez infúznu spojku Y. Údaje sa nedajú použiť na prípravu zmesí vo vakoch alebo striekačkách. Taká informácia sa nachádza v okne „Stabilita v zmesiach“.
Zlúčenina rozpúšťadlo odkazy na lieteratúru

  Mentions Légales