Última actualização :
18/03/2026
droga contra o câncer   Cabazitaxel  
injetável
Estabilidade em soluções simples Estabilidade em misturas Factores que afectam a sua estabilidade Compatibilidade Método de administração Bibliografía pdf
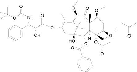
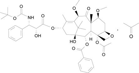
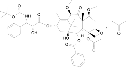
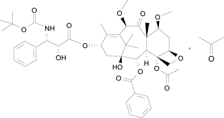
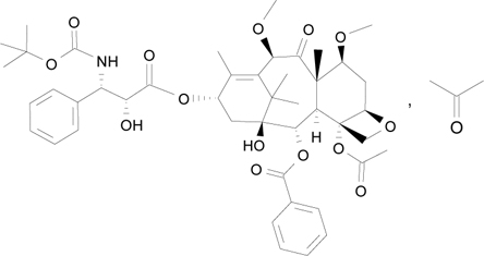
   estrutura química  

Nomes comerciais nos diversos países   Nomes comerciais nos diversos países     

OS NOMES COMERCIAIS SÃO INDICATIVOS E OS EXCIPIENTES DA FORMULAÇÃO PODEM SER DIFERENTES CONFORME O PAÍS E FABRICANTE.

Cabazil Argentina
Cabazitaxel Alemanha, Dinamarca, Espanha, Finlandia
Cecalter Argentina
Jevtana Alemanha, Argentina, Australia, Bélgica, Brasil, Canadá, Chilli, Colômbia, Dinamarca, Equator, Eslovenia, Espanha, Estados Unidos de América, Finlandia, França, Gran-bretanha, Islandia, Itália, Malásia, México, Noruega, Peru, Romènia, Suicia, Turquia
Proazitax Brasil
Xatiza Chilli
Zitat Argentina
Compatibilidade   injetável   Compatibilidade : Cabazitaxel              
Este ecrã indica as compatibilidades ou incompatibilidades com, neste caso, o tipo de incompatibilidade (precipitação, mudança de cor, modificação de uma emulsão, etc.). As compatibilidades mostradas aqui são principalmente físicas, com a estabilidade química de cada molécula raramente sendo avaliada. A avaliação dessas misturas foi estudada para considerar a possibilidade de administração do local Y ao paciente. Estes dados não podem ser usados para fazer misturas antecipadamente em sacos ou seringas. Este tipo de informação está disponível na tela “Estabilidade na mistura».
molécula Solvente Bibliografia

  Mentions Légales