Poslední aktualizace :
18/03/2026
vėžio narkotikų   Cabazitaxel  
Įpurškimas
Tirpalų stabilumas Mišinių stabilumas Stabilumą lemiantys veiksniai Suderinamumas Leidimo būdai Bibliografija pdf
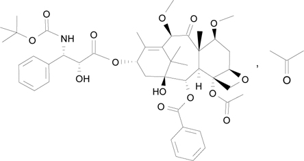
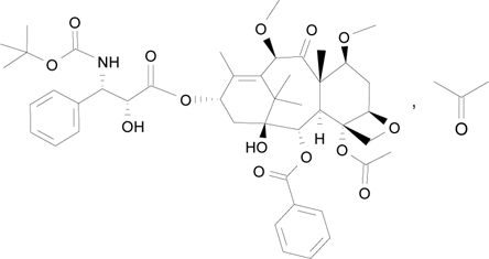
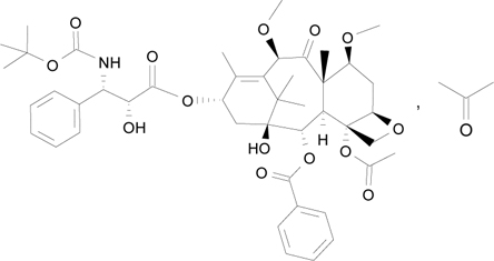
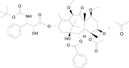
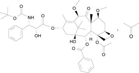
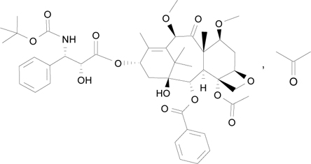
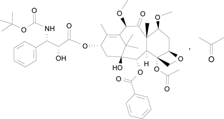
   Cheminė sandara  

Prekinis pavadinimas   Prekinis pavadinimas     

Trade names are indicative and excipients composition can be different depending on the country and manufacturers

Cabazil Argentina
Cabazitaxel Danija, Ispanija, Suomija, Vokietija
Cecalter Argentina
Jevtana Argentina, Australija, Belgija, Brazilija, Čilė, Danija, Didžioji Britanija, Ekvadoras, Islandija, Ispanija, Italija, Jungtinės Amerikos Valstijos, Kanada, Kolumbija, Malaizija, Meksikas, Norvegija, Peru, Prancūzija, Rumunija, Slovėnija, Suomija, Šveicarija, Turkija, Vokietija
Proazitax Brazilija
Xatiza Čilė
Zitat Argentina
Suderinamumas   Įpurškimas   Suderinamumas : Cabazitaxel              
explication_incompatibilite_molecules
Molekulė Tirpiklis Nuorodos

  Mentions Légales