آخر تحديث :
18/03/2026
المضادة للسرطان المخدرات   Cabazitaxel  
حقن
الاستقرار في حلول استقرار مخاليط العوامل التي تؤثر على الاستقرار التوافق طريقة التعاطي مراجع pdf
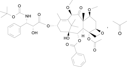
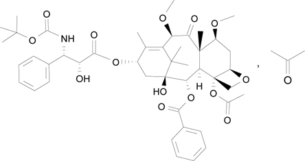
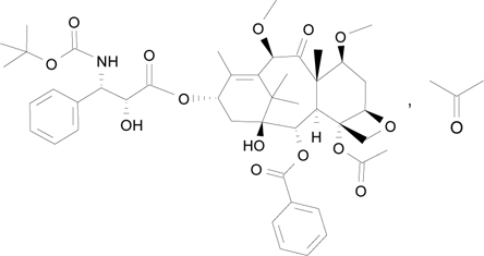
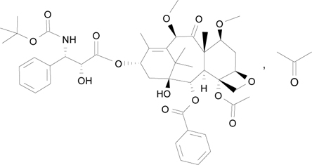
   التركيب الكيميائي  

حجز الاسم التجاري   حجز الاسم التجاري     

تحذير الأسماء التجاريه المختلفه قد تحتوي علي محتوي إضافات مختلفة حسب الدوله و المعمل

Cabazil الأرجنتين
Cabazitaxel ألمانيا, إسبانيا, الدنمارك, فنلندا
Cecalter الأرجنتين
Jevtana أستراليا, ألمانيا, أيسلندا, إسبانيا, إيطاليا, الأرجنتين, الإكوادور, البرازيل, الدنمارك, المكسيك, النرويج, الولايات المتحدة, بريطانيا العظمي, بلجيكا, بيرو, تركيا, تشيلي, رومانيا, سلوفينيا, سويسرا, فرنسا, فنلندا, كندا, كولومبيا, ماليزيا
Proazitax البرازيل
Xatiza تشيلي
Zitat الأرجنتين
التوافق   حقن   التوافق : Cabazitaxel              
This screen indicates the compatibilities or incompatibilities with, in this case, the type of incompatibility (precipitation, color change, modification of an emulsion, etc.). The compatibilities shown here are mostly physical only, with the chemical stability of each molecule rarely being assessed. The evaluation of these mixtures was studied to consider the possibility of Y-site administration to the patient. These data cannot be used for making mixtures in advance in bags or syringes. This type of information is available in the screen "Stability in mixture ».
مركب مذيب مراجع

  Mentions Légales