viimane versioon :
18/03/2026
vähiravimite   Cabazitaxel  
Süsteravim
Stabiilsus lahustes Stabiilsust mõjutavad tegurid stabiilsust mõjutavad faktorid Sobimatus Manustamis viis Viited pdf
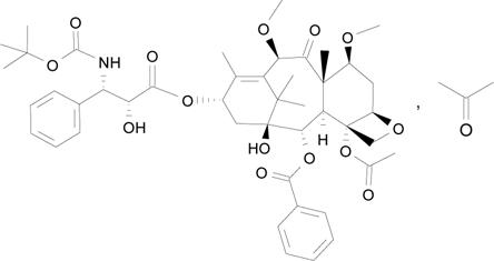
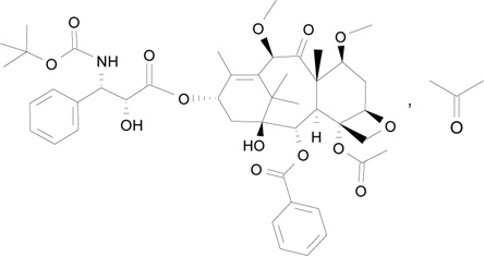
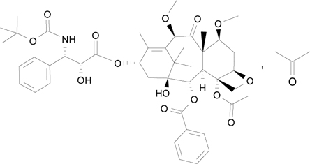
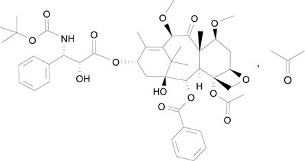
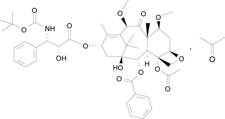
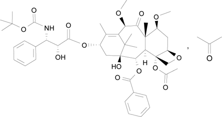
   keemiline struktuur  

Kaubanduslikud nimed erinevates maades   Kaubanduslikud nimed erinevates maades     

Preparaatide nimed on näitlikud ja abianete sisaldus võib erineda sõltuvalt riigist ja laborist

Cabazil Argentiina
Cabazitaxel Hispaania, Saksamaa, Soome, Taani
Cecalter Argentiina
Jevtana Ameerika ühendriigid, Argentiina, Austraalia, Belgia, Brasiilia, Ecuador, Hispaania, Island, Itaalia, Kanada, Kolumbia, Malaisia, Maroko, Mehhiko, Norra, Prantsusmaa, Rumeenia, Saksamaa, Sloveenia, Soome, Suurbritannia, Sveits, Taani, Tšiili, Türgi
Proazitax Brasiilia
Xatiza Tšiili
Zitat Argentiina
Sobimatus   Süsteravim   Sobimatus : Cabazitaxel              
Sellel lehel kuvatakse sobimatusi ja sobimatuse tüüpi (sadenemine, värvuse muutus, emulsiooni modifitseerumine jne). Enamasti on siin lehel kuvatud füüsikalised sobimatused, kuna molekulide keemilist stabiilsust hinnatakse harva. Hinnatud on segude sobivust Y-liinis. Antud infot ei saa kasutada ravimite sobivuse hindamiseks juhul, kui ravimid on segatud süstaldes või infusioonikottides. See info on lehel « stabiilsus segudes ».
ingredient lahusti Viited

  Mentions Légales