Τελευταία ενημέρωση :
18/03/2026
φάρμακο κατά του καρκίνου   Cabazitaxel  
Ενέσιμο
Σταθερότητα διαλυμάτων Σταθερότητα σε μίγματα Παράγοντας που επηρεάζει τη σταθερότητα Συμβατότητες Τρόπος χορήγησης Βιβλιογραφία pdf
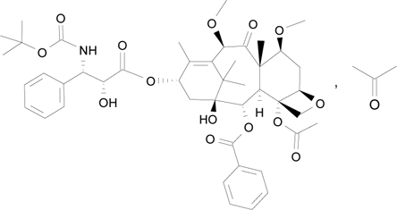
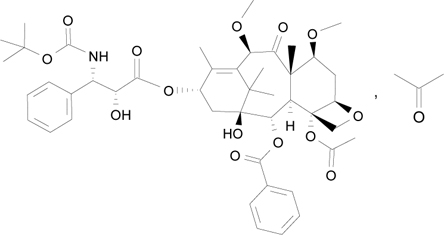
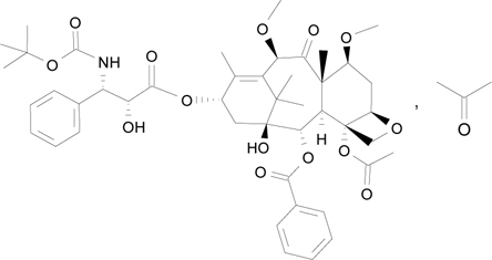
   χημική δομή  

Εμπορική ονομασία   Εμπορική ονομασία     

Οι εμπορικές ονομασίες είναι ενδεικτικές και η σύνθεση των εκδόχων μπορεί να διαφέρει ανάλογα με τη χώρα και τα εργαστήρια

Cabazil Αργεντινή
Cabazitaxel Γερμανία, Δανία, Ισπανία, Φινλανδία
Cecalter Αργεντινή
Jevtana Αργεντινή, Αυστραλία, Βέλγιο, Βραζιλία, Γαλλία, Γερμανία, Δανία, Εκουαδόρ, Ελβετία, Η.Π.Α., Ισλανδία, Ισπανία, Ιταλία, Καναδάς, Κολομβία, Μαλαισία, Μεγάλη Βρετανία, Μεξικό, Νορβηγία, Περού, Ρουμανία, Σλοβενία, Τουρκία, Φινλανδία, Χιλή
Proazitax Βραζιλία
Xatiza Χιλή
Zitat Αργεντινή
Συμβατότητες    Ενέσιμο   Συμβατότητες : Cabazitaxel              
Σε αυτή την οθόνη εμφανίζονται οι συμβατότητες ή ασυμβατότητες. Σε αυτή την περίπτωση εμφανίζονται το είδος της ασυμβατότητας (ίζημα, αλλαγή χρώματος, μεταβολή γαλακτώματος, κλπ). Οι συμβατότητες που παρουσιάζονται εδώ είναι κυρίως φυσικές, ενώ η χημική σταθερότητα κάθε μορίου σπάνια περιλαμβάνεται. Η αξιολόγηση αυτών των μιγμάτων μελετήθηκε προκειμένου να εκτιμηθεί η πιθανότητα χορήγησης στον ασθενή στο Υ κέντρο. Τα δεδομένα αυτά δεν μπορούν να χρησιμοποιηθούν για την εκ των προτέρων δημιουργία μιγμάτων σε ασκούς ή σύριγγες. Αυτό το είδος πληροφορίας υπάρχει και μπορεί να αναζητηθεί στην οθόνη «Σταθερότητα σε μίγμα».
Συστατικό Διαλυτικό Βιβλιογραφία

  Mentions Légales