Последно актуализиране :
18/03/2026
противораково лекарство   Cabazitaxel  
Инжекция/Инжекционен
Стабилност на разтвори Стабилност на смеси Фактори, повлияващи стабилността Съвместимост Път на въвеждане Библиография Pdf
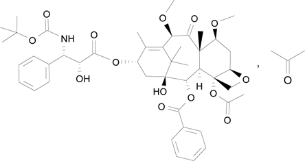
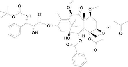
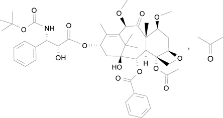
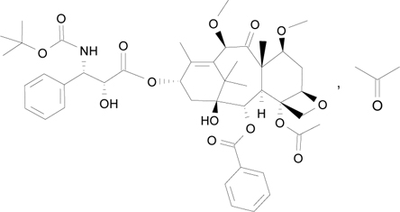
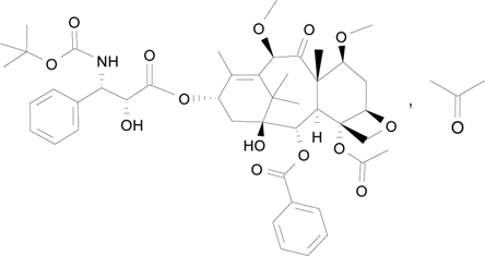
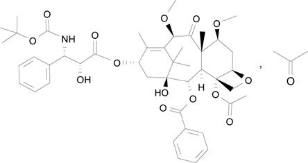
   Химична структура  

Търговско наименование   Търговско наименование     

Търговските имена са примерни и съставът на помощните вещества може да бъде различен в зависимост от държавата и лабораториите

Cabazil Аржентина
Cabazitaxel Германия, Дания, Испания, Финландия
Cecalter Аржентина
Jevtana Австралия, Аржентина, Белгия, Бразилия, Великобритания, Германия, Дания, Еквадор, Исландия, Испания, Италия, Канада, Колумбия, Малайзия, Мексико, Норвегия, Перу, Румъния, Словения, Съединени Американски щати / САЩ, Турция, Финландия, Франция, Чили, Швейцария
Proazitax Бразилия
Xatiza Чили
Zitat Аржентина
Съвместимост   Инжекция/Инжекционен   Съвместимост : Cabazitaxel              
Този екран показва съвместимостта или несъвместимостта с, в този случай, вида на несъвместимостта (утаяване, промяна на цвета, модификация на емулсия и др.). Показаните тук съвместимости са предимно физически, като рядко се оценява химическата стабилност на всяка молекула. Оценката на тези смеси беше проучена, за да се разгледа възможността за приложение на Y-място на пациента. Тези данни не могат да се използват за предварително приготвяне на смеси в торбички или спринцовки. Този тип информация е достъпна на екрана "Стабилност в сместа".
Състав / молекула Разтворител Библиография

  Mentions Légales