Poslední aktualizace :
18/03/2026
rakovina drog   Cabazitaxel  
injekce
Stabilita roztoků Stabilita směsí Faktory ovlivňující stabilitu Kompatibilita Způsoby aplikace Odkazy pdf
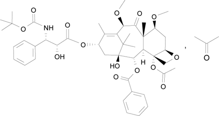
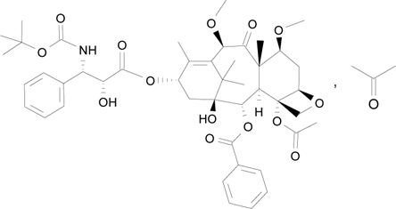
   Chemický vzorec  

Obchodní název   Obchodní název     

Trade names are indicative and excipients composition can be different depending on the country and manufacturers

Cabazil Argentina
Cabazitaxel äpanÏlsko, Dánsko, Finsko, NÏmecko
Cecalter Argentina
Jevtana äpanÏlsko, Argentina, Austrálie, Belgie, BrazÌlie, Chile, Dánsko, Ekvádor, Finsko, Francie, Island, Itálie, Kanada, Kolumbie, Malajsie, Mexiko, NÏmecko, Norsko, Peru, Rumunsko, Slovinsko, Švýcarsko, Turecko, USA, Velká Británie
Proazitax BrazÌlie
Xatiza Chile
Zitat Argentina
Kompatibilita   injekce   Kompatibilita : Cabazitaxel              
Tato obrazovka ukazuje kompatibilitu nebo nekompatibilitu s, v tomto případě, typem nekompatibility (srážení, změna barvy, modifikace emulze atd.). Zde uvedené kompatibility jsou většinou pouze fyzikální, přičemž chemická stabilita každé molekuly je zřídka hodnocena. Hodnocení těchto směsí bylo studováno, aby se zvážila možnost podání Y-místa pacientovi. Tyto údaje nelze použít k přípravě směsí předem v pytlích nebo stříkačkách. Tento typ informací je k dispozici na obrazovce „Stabilita ve směsi“.
SlouËenina RozpouötÏdlo Odkazy

  Mentions Légales