Zadnji put ažurirano :
18/03/2026
lijek protiv karcinoma   Cabazitaxel  
injekcija
Stabilizacija rješenja Stabilnost mješavine Stabilizacijski faktor Kompatibilnosti način davanja lijeka Bibliografija pdf
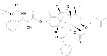
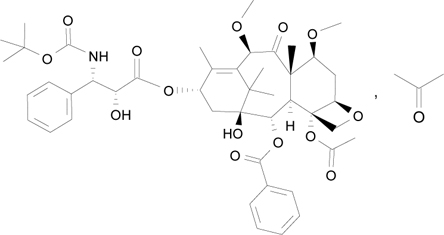
   Kemijska struktura  

Nekomercijalni   Nekomercijalni     

Zaštićeni nazivi su indikativni i sastav ekscipijensa može biti različit ovisno o državi i laboratorijima

Cabazil Argentina
Cabazitaxel Danska, Finska, Njemačka, Španjolska
Cecalter Argentina
Jevtana Argentina, Australija, Belgija, Brazil, Čile, Danska, Ekvador, Finska, Francuska, Island, Italija, Kanada, Kolumbija, Malezija, Meksiko, Njemačka, Norveška, Peru, Rumunjska, S A D, Slovenija, Španjolska, Švicarska, Turska, Velika Britanija
Proazitax Brazil
Xatiza Čile
Zitat Argentina
Kompatibilnosti   injekcija   Kompatibilnosti : Cabazitaxel              
Ovdje su prikazane kompatibilnosti ili nekompatibilnosti s tipom nekompatibilnosti (taloženje, promjena boje, modifikacija emulzije itd.) u ovom slučaju. Kompatibilnosti prikazane ovdje najčešće su fizikalne dok se kemijska stabilnost molekule rijetko procjenjuje. Procjena ovih mikstura je proučavana kako bi se razmotrila mogućnost primjene lijeka putem Y-mjesta. Ovi se podaci ne smiju koristiti za pripremu mikstura unaprijed u vrećicama ili štrcaljkama. Ova vrsta informacije se može pronaći u odjeljku « stabilnost u miksturama ».
molekula sredstvo za rastapanje Bibliografija

  Mentions Légales