Letztes “update” :
27/11/2025
Elektrolyt   Calcium gluconate  
Salben
Injektion
Stabilität von pharmazeutischen Präparaten Gemengestabilität Stabilitätbeeinflussende Faktoren Kompatibilitäten Literaturverzeichnis pdf
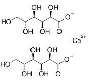
   Chemische Struktur  

Salben

Stabilitätbeeinflussende Faktoren   Salben   Stabilitätbeeinflussende Faktoren : Calcium gluconate        
Keine Daten

  Mentions Légales