viimane versioon :
27/11/2025
elektrolüüt   Calcium gluconate  
salv
Süsteravim
Stabiilsust ravimpreparaadid Stabiilsust mõjutavad tegurid stabiilsust mõjutavad faktorid Sobimatus Viited pdf
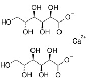
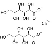
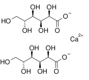
   keemiline struktuur  

salv

stabiilsust mõjutavad faktorid   salv   stabiilsust mõjutavad faktorid : Calcium gluconate        
andmed puuduvad

  Mentions Légales