Senaste uppdateringen :
27/11/2025
elektrolyt   Calcium gluconate  
Salvor
injektion
Stabilitet av läkemedel Stabilitet i blandningar Faktorer som påverkar stabiliteten Kompatibilitet Hänvisningar pdf
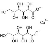
   Molekylstruktur  

Salvor

Faktorer som påverkar stabiliteten   Salvor   Faktorer som påverkar stabiliteten : Calcium gluconate        
Ingen uppgift

  Mentions Légales