Poslední aktualizace :
18/03/2026
elektrolyt   Calcium gluconate  
Masti
injekce
Stabilita farmaceutických přípravků Stabilita směsí Faktory ovlivňující stabilitu Kompatibilita Odkazy pdf
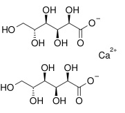
   Chemický vzorec  

Masti

Faktory ovlivňující stabilitu   Masti   Faktory ovlivňující stabilitu : Calcium gluconate        
žádná data

  Mentions Légales