Последно актуализиране :
18/03/2026
Електролитен   Calcium gluconate  
Унгвент/Унгвенти
Инжекция/Инжекционен
Стабилност на лекарствени препарати Стабилност на смеси Фактори, повлияващи стабилността Съвместимост Библиография Pdf
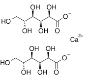
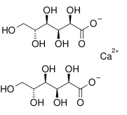
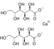
   Химична структура  

Унгвент/Унгвенти

Фактори, повлияващи стабилността   Унгвент/Унгвенти   Фактори, повлияващи стабилността : Calcium gluconate        
Няма данни

  Mentions Légales