Seneste opdatering :
27/11/2025
Elektrolyt   Calcium gluconate  
Salver
Injektion
Stabilitet af farmaceutiske tilberedninger Stabilitet i blandinger Faktorer der påvirker stabiliteten Kompatibilitet Bibliografi pdf
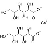
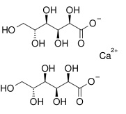
   Kemisk struktur  

Salver

Faktorer der påvirker stabiliteten   Salver   Faktorer der påvirker stabiliteten : Calcium gluconate        
Ingen data

  Mentions Légales