最新更新 :
18/03/2026
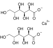
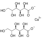
电解液   Calcium gluconate  
药膏
注射液
制剂的稳定性 混合物稳定性 影响稳定性的因素 兼容性 引用文献 PDF
   化学式  

药膏

影响稳定性的因素   药膏   影响稳定性的因素 : Calcium gluconate        
无数据

  Mentions Légales