Viimeisin päivitys :
18/03/2026
Infostab
Luettelo yhdisteistä
Yhteenveto-luettelot
Etsi yhteensopivuutta
Y-sivuston yhteensopivuustaulukko
Viitteet
tutkimus Joukkueet
valistab
ilmoitus
Liitännät
sponsorit
Tekijät
Käyttöohje
Uutiskirje
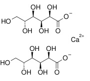
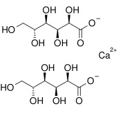
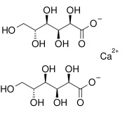
Calcium gluconate
Kemiallinen rakenne
Tekijät, jotka vaikuttavat stabiliuteen : Calcium gluconate
ei tietoa
Mentions Légales