Pēdējā atjaunošana :
27/11/2025
elektrolīts   Calcium gluconate  
Ziedes
Injekcija
Stabilitāte farmaceitisko preparātu Maisījuma stabilitāte Stabilitāti ietekmējoši faktori Saderība Literatūras saraksts pdf
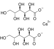
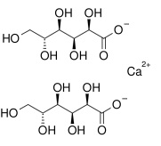
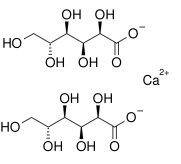
   Ķīmiskā uzbūve   

Ziedes

Stabilitāti ietekmējoši faktori   Ziedes   Stabilitāti ietekmējoši faktori : Calcium gluconate        
Nav datu

  Mentions Légales