Zadnji put ažurirano :
18/03/2026
elektrolita   Calcium gluconate  
masti
injekcija
Stabilnost farmaceutskih pripravaka Stabilnost mješavine Stabilizacijski faktor Kompatibilnosti Bibliografija pdf
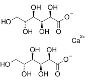
   Kemijska struktura  

masti

Stabilizacijski faktor   masti   Stabilizacijski faktor : Calcium gluconate        
bez podataka

  Mentions Légales