Senaste uppdateringen :
18/03/2026
Antibiotikum   Gentamicin sulfate  
ögondroppar
injektion
Stabilitet av läkemedel Stabilitet i blandningar Faktorer som påverkar stabiliteten Kompatibilitet Hänvisningar pdf
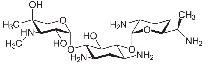
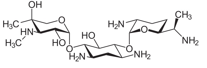
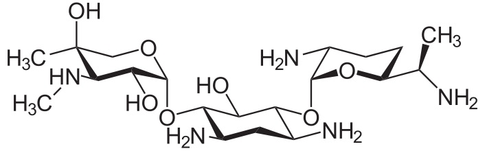
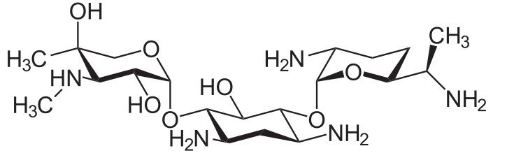
   Molekylstruktur  

ögondroppar
Stabilitet i blandningar   ögondroppar   Stabilitet i blandningar : Gentamicin sulfate     
Ingen uppgift

  Mentions Légales