Τελευταία ενημέρωση :
18/03/2026
Αντιβιοτικό   Gentamicin sulfate  
Οφθαλμικές σταγόνες
Ενέσιμο
Σταθερότητα και συμβατότητα των φαρμάκων Σταθερότητα σε μίγματα Παράγοντας που επηρεάζει τη σταθερότητα Συμβατότητες Βιβλιογραφία pdf
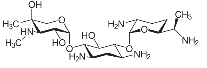
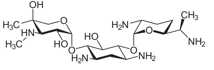
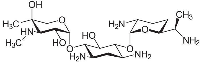
   χημική δομή  

Οφθαλμικές σταγόνες
Σταθερότητα σε μίγματα   Οφθαλμικές σταγόνες   Σταθερότητα σε μίγματα : Gentamicin sulfate     
Δεν υπάρχουν πληροφορίες

  Mentions Légales