Last update :
18/03/2026
Antibiotic   Gentamicin sulfate  
Eye-drops
injection
Stability of pharmaceutical preparations Stability of mixtures Factors which affect stability Compatibility References pdf
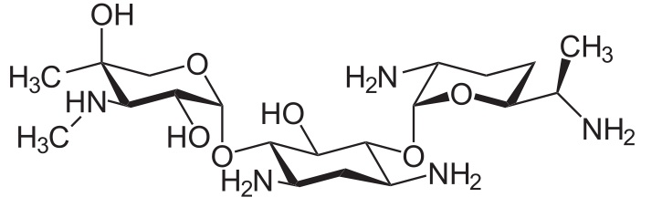
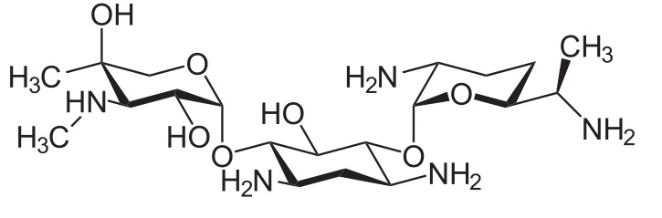
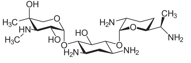
   Chemical structure  

Eye-drops
Stability of mixtures   Eye-drops   Stability of mixtures : Gentamicin sulfate     
No data

  Mentions Légales