Последнее обновление :
18/03/2026
Антибиотик   Gentamicin sulfate  
Глазные капли
Инъекция
Стабильность фармацевтических препаратов Стабильность смесей Факторы, которые влияют на стабильность Совместимость Библиография pdf
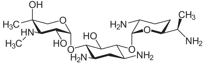
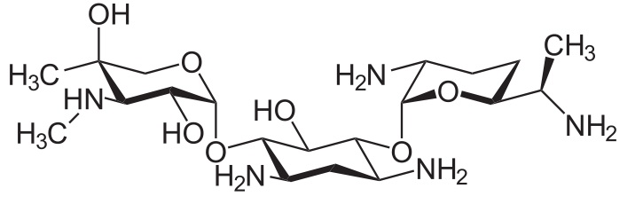
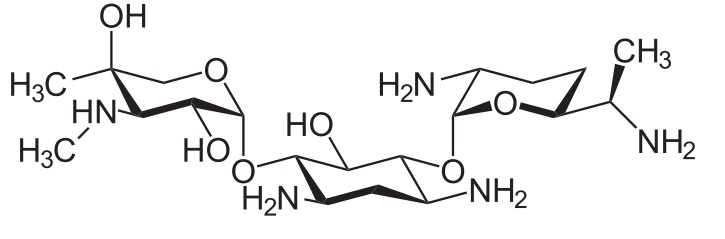
   Химическая структура  

Глазные капли
Стабильность смесей   Глазные капли   Стабильность смесей : Gentamicin sulfate     
данных нет

  Mentions Légales