Ostatnia aktualizacja :
18/03/2026
Antybiotyk   Gentamicin sulfate  
Krople oczne
Injekcje
Stabilność preparatów farmaceutycznych Trwałość w mieszaninie Czynnik wpływający na trwałość Zgodność Bibliografia pdf
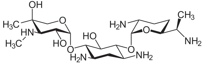
   Struktura chemiczna  

Krople oczne
Trwałość w mieszaninie   Krople oczne   Trwałość w mieszaninie : Gentamicin sulfate     
Brak danych

  Mentions Légales