viimane versioon :
18/03/2026
Infostab
ingredientide nimekiri
nimekiri
Sobivus otsing
Y-liini sobivuse tabel
Viited
uurimisrühmad
valistab
plakat
Sidemed
sponsorid
Autor
Kasutusjuhend
ajakiri
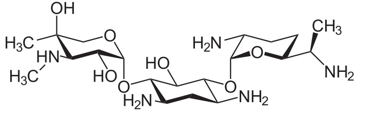
Gentamicin sulfate
keemiline struktuur
Stabiilsust mõjutavad tegurid : Gentamicin sulfate
andmed puuduvad
Mentions Légales