Zadnji put ažurirano :
18/03/2026
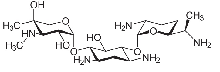
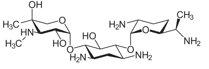
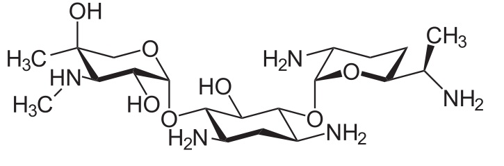
antibiotik   Gentamicin sulfate  
kapi za oko
injekcija
Stabilnost farmaceutskih pripravaka Stabilnost mješavine Stabilizacijski faktor Kompatibilnosti Bibliografija pdf
   Kemijska struktura  

kapi za oko
Stabilnost mješavine   kapi za oko   Stabilnost mješavine : Gentamicin sulfate     
bez podataka

  Mentions Légales