Последно актуализиране :
18/03/2026
Антибиотик   Gentamicin sulfate  
Капки за очи
Инжекция/Инжекционен
Стабилност на лекарствени препарати Стабилност на смеси Фактори, повлияващи стабилността Съвместимост Библиография Pdf
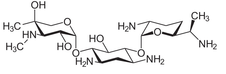
   Химична структура  

Капки за очи
Стабилност на смеси   Капки за очи   Стабилност на смеси : Gentamicin sulfate     
Няма данни

  Mentions Légales