Poslední aktualizace :
18/03/2026
Antibiotikas   Gentamicin sulfate  
Akių lašai
Įpurškimas
Stabilumas farmacinių preparatų Mišinių stabilumas Stabilumą lemiantys veiksniai Suderinamumas Bibliografija pdf
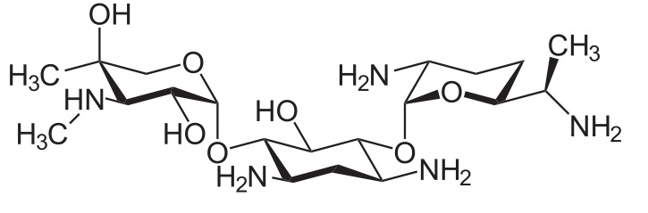
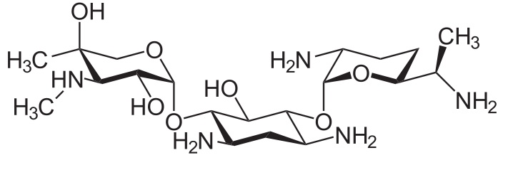
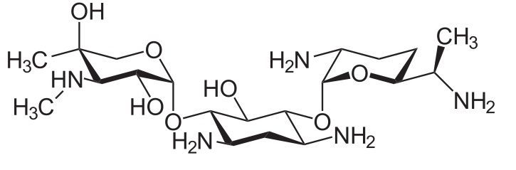
   Cheminė sandara  

Akių lašai
Mišinių stabilumas   Akių lašai   Mišinių stabilumas : Gentamicin sulfate     
Nėra duomenų

  Mentions Légales