Cập nhật lần cuối :
18/03/2026
Kháng sinh   Amoxicillin sodium / clavulanic acid  
Dung dịch uống
Dạng tiêm
Tính ổn định của các chế phẩm Độ ổn định khi trộn lẫn Những yếu tố ảnh hưởng đến độ ổn định Khả năng tương thích Tài liệu tham khảo Pdf
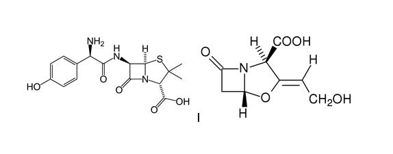
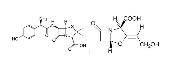
   Cấu trúc hóa học  

Dung dịch uống

Những yếu tố ảnh hưởng đến độ ổn định   Dung dịch uống   Những yếu tố ảnh hưởng đến độ ổn định : Amoxicillin sodium / clavulanic acid        
Mục lục
Nhiệt độ 25°C Tạo thành Giảm độ ổn định 2508
Nhiệt độ 25°C Tạo thành Phân hủy 2951

  Mentions Légales