Viimeisin päivitys :
18/03/2026
Antibiootit   Amoxicillin sodium / clavulanic acid  
Oraaliliuos
Injektioneste
Vakaus lääkevalmisteen Stabilius seoksissa Tekijät, jotka vaikuttavat stabiliuteen Yhteensopivuus Viitteet pdf
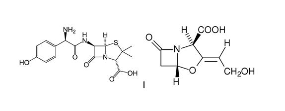
   Kemiallinen rakenne  

Oraaliliuos

Tekijät, jotka vaikuttavat stabiliuteen   Oraaliliuos   Tekijät, jotka vaikuttavat stabiliuteen : Amoxicillin sodium / clavulanic acid        
Viitteet
Lämpötila 25°C Aiheuttaa Alentunut stabilius 2508
Lämpötila 25°C Aiheuttaa Hajoaminen 2951

  Mentions Légales