Utolsó frissítés :
18/03/2026
Antibiotikum   Amoxicillin sodium / clavulanic acid  
belsőleges oldat
Injekció
Stabilitása gyógyszerészeti készítmények A keverékek stabilitása Stabilitást befolyásoló tényezők Kompatibilitás Irodalom pdf
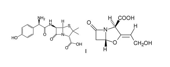
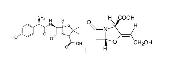
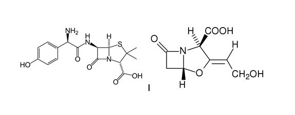
   Kémiai szerkezet   

belsőleges oldat

Stabilitást befolyásoló tényezők   belsőleges oldat   Stabilitást befolyásoló tényezők : Amoxicillin sodium / clavulanic acid        
Irodalom
Hőmérséklet 25°C Előidéz Stabilitás csökkenés 2508
Hőmérséklet 25°C Előidéz Lebomlás 2951

  Mentions Légales