Son güncelleme :
18/03/2026
Antibiyotik   Amoxicillin sodium / clavulanic acid  
Oral solüsyon / oral çözelti
Enjeksiyon
Farmasötik preparatlar Kararlılığı Karışımlardaki stabilitesi Stabiliteyi etkileyen faktörler Uyumluluk Kaynaklar pdf
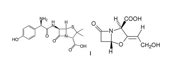
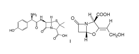
   Kimyasal yapı   

Oral solüsyon / oral çözelti

Stabiliteyi etkileyen faktörler    Oral solüsyon / oral çözelti   Stabiliteyi etkileyen faktörler : Amoxicillin sodium / clavulanic acid        
Kaynaklar
Isı 25°C İndükler Stabilitede azalma 2508
Isı 25°C İndükler Parçalanma 2951

  Mentions Légales